| << 【孤山の守護者】西泠印社の礎を築いた男、葉銘の知られざる情熱と堅実なる一生 2026-04-21 |

皆さんは「魯迅」と聞いて、何を思い浮かべますか?
実は、彼は偉大な文学者・思想家であるだけでなく、「美術」や「書道」においても超一流の表現者でした。今回は、鋭い文章で時代を切り裂いた彼が、筆を通して見せた「もう一つの顔」に迫ります。
1. 「北京大学」のロゴも彼の作品? 驚くべきデザインセンス
魯迅と美術の関わりは、私たちが想像する以上に密接です。実は、今でも使われている「中国北京大学」の校章をデザインしたのは魯迅その人なのです。

彼の書道に対する評価は極めて高く、あの郭沫若は「その書は唐や宋の時代を遥かに凌ぎ、魏晋の風格に直結している」とまで絶賛しました。文学的な業績があまりに突出していたため、これまで彼の「書道家」としての功績は、不当に影に隠れてきたと言えるでしょう。
2. 「魯迅体」が全国を席巻——そのルーツは「拓碑」にあり
魯迅の書は、単なる趣味の域を超えています。かつて中国では国内の新聞、映画館、文化館などの看板に、彼の字を拡大して使うことが大流行し、「魯迅体」という言葉が生まれるほどでした。例えば、有名な新聞『参考消息』の題字も、彼の手跡から集められたものです。

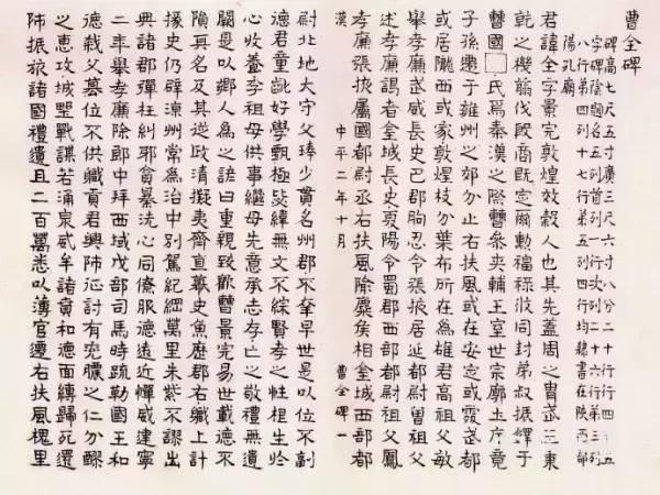
なぜ、彼の字にはこれほどの力があるのでしょうか? その秘密は、彼の故郷である浙江省紹興の「蘭亭文化」への愛、そして「古碑」の徹底的な研究にあります。

魯迅臨書『曹全碑』
3. 日記や手紙に見る「等身大の魯迅」
魯迅が遺した墨跡の多くは、実は完成された「書道作品」として書かれたものではありません。その大半は、日々の原稿、日記、そして友人への手紙です。
本の中の「鋭利な筆鋒で批判する魯迅」とは対照的に、日常の文字の中にいる彼は、ごく普通の生活者としての温かみを感じさせます

魯迅日記


瞿秋白への贈答
これらの文字に触れるとき、私たちは「より真実の魯迅」に出会うことができるのです。
魯迅の文章が「刀」だとしたら、彼の書は「その刀を研ぎ、休ませる場所」だったのかもしれません。 情報のデジタル化が進む今だからこそ、一画一画に込められた彼の「肉声」のような文字が、私たちの心に強く響きます。
「魯迅体」の看板を見かけたら、ぜひその背景にある「古碑に学び、日常を愛した文豪の魂」に想いを馳せてみてください。
LINE簡単買取査定
LINE以外は下記買取依頼フォームをご利用ください
| << 【孤山の守護者】西泠印社の礎を築いた男、葉銘の知られざる情熱と堅実なる一生 2026-04-21 |




メールアドレスを入力
してお申込みください。




メールアドレスを入力
してお申込みください。